reneboehmer
Subscriber
@RalphLambrecht I added the feature you requested. The Analysis plot area now always shows film / dev combinations.
https://analogplotter.com/ its a new domainI have been unable to reach the website.
https://analogplotter.com/ its a new domain
The software will now not only interpolate from datasets but also extrapolate from the datasets. If you have too little data, the software will now output "recommended" times and speeds
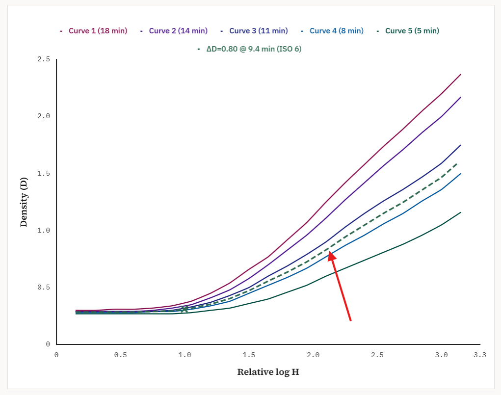
You will need more than one set for data to be extrapolated. I would recommend at least 5 different curves. from lets say 4min dev time to 20 min or soI haven't been able to figure out how to do that. I only have one set of data (for 18 minutes development).
You will need more than one set for data to be extrapolated. I would recommend at least 5 different curves. from lets say 4min dev time to 20 min or so
Hey Rene,
thank you so much for your work! It´s great
I would like to request the option to have different logH for each curve.
@reneboehmer this is very cool. Well done!

Hey! Why do you need it? Can do it theoretically. Whats the use?
I’m not always using the same exposure when I shoot the step wedge. Sometimes the exposure changes because I tweak the sensitometer setup, and sometimes I intentionally expose differently depending on the film speed (e.g., ISO 50 vs ISO 400) to make better use of the wedge’s range. Both situations can even happen within measurements of the same film stock. With a per-curve logH option, I could use all my data without having to manually recalculate it.
Totally understand if that’s not worth your effort, really appreciate your work.
I understand your point.
The data is actually surprisingly accurate. If I develop two wedges with different exposures, they match up really well in the overlapping parts.
Edit:
Sometimes Step 21 doesn’t represent base+fog, so I always measure it separately. The numbers might get shifted in your speed-point search if Steps 21/20 aren’t actually B+F.
Is this something I’m doing wrong, should I shift the wedge exposure? The downside is that I’d lose data points on the high-density end.
As a workaround, I manually add a data point at zero logE (−3.00 lux·s). Your EI calculations come out the same when I do it manually; I’m just not sure whether I’m messing up something else with this approach.
| Photrio.com contains affiliate links to products. We may receive a commission for purchases made through these links. To read our full affiliate disclosure statement please click Here. |
PHOTRIO PARTNERS EQUALLY FUNDING OUR COMMUNITY: ![]() |
