• Welcome to Photrio!
    Registration is fast and free. Join today to unlock search, see fewer ads, and access all forum features.
    Click here to sign up

Kentmere 400 pushed to 800 or 1600 with Rodinal

Forum statistics

Threads
203,324
Messages
2,853,001
Members
101,785
Latest member
Fpicabia
Recent bookmarks
0

Yaeli

Member
Allowing Ads
Joined
Jun 2, 2021
Messages
173
Location
France
Format
35mm
Hello everyone,

So, a few years ago, with the advice of a fellow French guy on Flickr, I pushed HP5 to 3200 and developped it in Rodinal 1+50 for 52 minutes, with 10 seconds gentle agitation every minute. It came out really good, at least for my taste (see samples below - or my original post on it). The grain was not at all overbearing, and the tones were decent for such a push, in my very humble hobbyist opinion.
Now, a few years later, HP5 is around 10 euros here, and Kentmere 400 around 6-7, which is a substantial difference. I have developped K400 at box speed in Rodinal 1+50 (though I can't remember the time... if anyone knows if it's 11.5 or 17.5 minutes?) and the results were good for me (see last picture). I wanted to know if I could try pushing K400 to 800 or 1600 (I don't think I'd try 3200 with it) in Rodinal, if anyone had tested it, and with what recipe.
It appears from the massive dev chart that, usually, the times for K400 are a little bit longer than for HP5 at the same dilutions (ex : 29 minutes in 1+50 at 1600 instead of 24 minutes for HP5). I suppose (though I suck at chemistry) that it's because K400 has less silver content than HP5 ? Do you think that 29 minutes is a good time ?
Anyway. I'll take any advice I can get !
Thanks beforehand !
 

Attachments

  • img017 - Copie.JPG
    img017 - Copie.JPG
    1,009.1 KB · Views: 254
  • img030 downgraded.JPG
    img030 downgraded.JPG
    869.5 KB · Views: 192
  • IMG_1233 - Copie.jpg
    IMG_1233 - Copie.jpg
    1.2 MB · Views: 219
Last edited:
You could try. I'm skeptical since these films really don't record anything that far down on the curve. So regardless of how develop, there's just not going to be any detail. The success of your HP5+ experiment relies on three things, I think:
1: Light measurement that favors the shadow areas; so it's doubtful you were really exposing for EI3200 in reality. Note that stage performances like in the picture feature pretty hot highlights on the artists that generally photograph well down to EI400.
2: All 3 of your images have a lifted blackpoint which creates the impression that there's some shadow detail even if there is none. I.e. there's no actual black in your images, but the darkest tone rendered is a deep grey. This helps lift every other shadow tone up as well. This looks OK to some on digital, but it never translates to print, where it looks flat and lackluster.
3: Scanning really helps to get the most out of even impossibly thin shadow areas on negatives.
So I think there are very strict conditions under which this 'success' can exist. If you replicate them, I'm sure you can do something similar with Kentmere 400.

Do you think that 29 minutes is a good time ?
It doesn't really matter, honestly. 30-45 minutes. 20 might be OK, too.
 
You could try. I'm skeptical since these films really don't record anything that far down on the curve. So regardless of how develop, there's just not going to be any detail. The success of your HP5+ experiment relies on three things, I think:
1: Light measurement that favors the shadow areas; so it's doubtful you were really exposing for EI3200 in reality. Note that stage performances like in the picture feature pretty hot highlights on the artists that generally photograph well down to EI400.
2: All 3 of your images have a lifted blackpoint which creates the impression that there's some shadow detail even if there is none. I.e. there's no actual black in your images, but the darkest tone rendered is a deep grey. This helps lift every other shadow tone up as well. This looks OK to some on digital, but it never translates to print, where it looks flat and lackluster.
3: Scanning really helps to get the most out of even impossibly thin shadow areas on negatives.
So I think there are very strict conditions under which this 'success' can exist. If you replicate them, I'm sure you can do something similar with Kentmere 400.


It doesn't really matter, honestly. 30-45 minutes. 20 might be OK, too.

Thank you for your answer, Koraks !
1) It was actually a rehearsal, in a small room lit with neon lamps and a single floor lamp. So no real highlights. I tried the concert with lights once with Delta 3200, and it was a hot mess (see images 1 and 2 below), though there was most probably technical errors done in camera, for sure.
2) That is very, very accurate. I hadn't thought about printing, at all, I admit. I suppose a print would look somewhere close to the image 3 below, then ? Not nearly as good...
As for the time, I'll try 29 minutes, and see what it gives me (though at the price of film, and considering how much I hate wasting it, it's a bit frustrating to do those tests ^^).
 

Attachments

  • Photrio1.jpg
    Photrio1.jpg
    1.5 MB · Views: 122
  • Photrio2.jpg
    Photrio2.jpg
    1.8 MB · Views: 108
  • Photrio 1.JPG
    Photrio 1.JPG
    1.4 MB · Views: 121
I like Kentmere 400 at 800, but Rodinal isn't what I'd choose for that. HC-110 or 510-pyro will show less grain. D-76 could also be used.

This is a 510-pyro example at 800 in 6x9. It's good for shooting old folders at f/22 handheld.

52948316371_dac8907af4_k.jpg
 
If you meter a scene light this with a camera that has evaluative, center-weighted or even partial metering, you're getting an effective meter reading that's some kind of average of the shadows and the highlights. Given the high contrast range, it's not really well-defined what the effective EI is, although arguably the EI is whatever you set the meter to. Nonetheless, the lighting and the mode of metering make a massive impact on the net result. I really doubt you were getting a real EI3200 metering on that HP5+ roll.

A simple fact of life is that you physically cannot shift the toe of a film curve to the right in any significant degree. A film will record detail to a certain low level of light, and never below it, regardless of how you develop. Push processing relies on the principle that what you can do, is increase the contrast of the shadow differentiation by increasing development. This is tricky because the highlights move along with that, so they get pushed up, resulting in a difficult to manage contrast on the negative unless the original scene contrast was low. You're working in the opposite conditions, so there's a fundamental problem there. One issue apparent in your images are the blown highlights, although I'm convinced that this is more of a scanning issue than one of insufficient differentiation in the negatives.

I suppose a print would look somewhere close to the image 3 below, then ? Not nearly as good...
Yes, it would look like that and honestly I think it's still a great portrait and personally I like it a lot better with this 'proper' contrast. You've got good differentiation in the skin tones, and that is because they were illuminated more favorably than the EI3200 would make you believe.

As to the lighting: yes, the lighting is hot in specific places, and that is the reason why some of the shots come out OK. The real performance starts to become clear in e.g. the middle shot of the guitarists where much of the scene just drops away into undifferentiated shadows:
1771241109478.png

Above is your image with the black point set to real black (RGB [0,0,0]).

You're in reality not getting anywhere near a 3200 speed exposure, not even with fortuitous scanning that allows recovery of shadows beyond what you could ever do in the darkroom. Conversely, with Kentmere 400 you will not get anywhere close 1600. Regardless, under similar lighting conditions, you will get images that retain sufficient or even desirable differentiation in the areas that received sufficient exposure. This is how push processing ultimately works; it allows you to get acceptable contrast in the negative while sacrificing shadow differentiation. It's not a true speed increase and thus there are limits to what it can do.

If you take a scene with flat light (see e.g. @loccdor's example above) you can get very normal-looking results, but that principle relies on a very narrow SBR (scene brightness range) under which conditions you can easily sacrifice a stop of shadow differentiation because there's not much going on there anyway, and then boost negative contrast back to normal by overdeveloping. However, the typical applications under which push processing are often attempted are the exact opposite: high contrast scenes of stage performances, artificially lit interiors, street light shots etc. There are characterized by large swathes of deep shadows and very localized 'hot' areas of intense illumination. This can still work great, but it's a "trick" that relies on composition and framing more so than one of how the film is handled, technically, or any advantages of push processing. This is why the portrait of the lady and the microphone 'works' - it's in the eyes and her smile (even though the mic is a bit of an issue). Same for the initial one with the woman in front of the Bob Marley flag. The composition works fairly well in both and as a result, the deep shadows don't hurt much - in fact, they kind of help by isolating the subject.

That's why I have some qualms about this story of supposedly effective push processing - it works if and only if the subject is well-lit. Which brings into question what push processing really brought to the party.

Mind you, I've done the same on occasion; this is Fuji Sensia 1600 pushed to 3200:
24%20Arie.jpg

Note how it 'works' only because the bassist received light sufficient for 800-speed film and frankly I just lucked out on this composition. I burned 2.5 rolls of film that night (20+ years ago) and only this image is presentable. The rest is what pushed film often gives under circumstances like these - a murky mess.
 
If you take a scene with flat light (see e.g. @loccdor's example above) you can get very normal-looking results, but that principle relies on a very narrow SBR (scene brightness range) under which conditions you can easily sacrifice a stop of shadow differentiation because there's not much going on there anyway, and then boost negative contrast back to normal by overdeveloping. However, the typical applications under which push processing are often attempted are the exact opposite: high contrast scenes of stage performances

Very important point. The lighting conditions in which push processing are often attempted are in fact more suitable for pull processing from a contrast perspective. If you were somehow able to add more even lighting, your chance for a good result improve.

I forgot to mention Diafine as an option which for most films gives a 1-1.5 stop push while preserving normal contrast. And I think there is Thornton two bath which I haven't used that can do something similar.
 
@koraks
Thank you for your explanation. This is what I always thought about pushing but could not explain. I don't even bother to measure the lighting in these conditions. I open the aperture to what the lens has, increase the shutter to what I think I can hold and hope for the best. I burn a lot of film this way but occasionally I get really nice results like that of the singing lady above.
 
Anything over 20 mins in Rodinal is a matter of rapidly declining returns, and anything over about 30 is about the same as it sitting in water. Adjust dilutions accordingly for contrast required, and ignore the poor (and frankly cultish) advice handed out about Rodinal online. It is not a speed enhancing developer, but it tends not to control highlight contrast as strongly as some developers, thus some people demand that you accept it is 'better'. If you are desperate for heroic contrast increases (which is what 'pushing' really is), K400 is not your film. DD-X or Microphen are your best chance of squeezing the most actual speed out of any given emulsion, but quite frankly, you will be better off working out what your exposures should actually be, and I would not be surprised if they land not far off from where K400 would get you, when run at the EI800 times.
 
I agree with Lachlan, Microphen is actually a speed increasing developer, Rodinal isn't. At best, Microphen will get you 1/2 - 2/3 of a stop more speed.

As a general rule, I don't use Rodinal, there are better developers for just about every film characteristic (emulsion speed, grain and acutance), and combinations of those. Xtol/XT-3 in particular do all of those characteristics well.
 
quite frankly, you will be better off working out what your exposures should actually be, and I would not be surprised if they land not far off from where K400 would get you, when run at the EI800 times.
From a more practical point of view, I was thinking what I would advise OP instead of my somewhat dismissive/defeatist earlier responses. If I had to use this particular film (which I can imagine is attractive due to cost reasons), I would probably meter at 800 or so, and then develop a little longer in something like XTOL or one of its alternatives (see also @Craig's almost simultaneous response above!). Maybe if I were feeling frisk I'd set the meter to 1000ISO for a 'je ne sais quoi' feeling of making it into 3-digit EI territory.
 
I like Kentmere 400 at 800, but Rodinal isn't what I'd choose for that. HC-110 or 510-pyro will show less grain. D-76 could also be used.

Thank you for the advice ! I was going to use Rodinal, since I know it and have used it before, but maybe it's really not the best option for that film. Maybe I should go with a developper that is made for pushing, like Microphen or DD-X...
Very nice view of the pier !

If you meter a scene light this with a camera that has evaluative, center-weighted or even partial metering, you're getting an effective meter reading that's some kind of average of the shadows and the highlights. Given the high contrast range, it's not really well-defined what the effective EI is, although arguably the EI is whatever you set the meter to. Nonetheless, the lighting and the mode of metering make a massive impact on the net result. I really doubt you were getting a real EI3200 metering on that HP5+ roll.

A simple fact of life is that you physically cannot shift the toe of a film curve to the right in any significant degree. A film will record detail to a certain low level of light, and never below it, regardless of how you develop. Push processing relies on the principle that what you can do, is increase the contrast of the shadow differentiation by increasing development. This is tricky because the highlights move along with that, so they get pushed up, resulting in a difficult to manage contrast on the negative unless the original scene contrast was low. You're working in the opposite conditions, so there's a fundamental problem there. One issue apparent in your images are the blown highlights, although I'm convinced that this is more of a scanning issue than one of insufficient differentiation in the negatives.


Yes, it would look like that and honestly I think it's still a great portrait and personally I like it a lot better with this 'proper' contrast. You've got good differentiation in the skin tones, and that is because they were illuminated more favorably than the EI3200 would make you believe.

As to the lighting: yes, the lighting is hot in specific places, and that is the reason why some of the shots come out OK. The real performance starts to become clear in e.g. the middle shot of the guitarists where much of the scene just drops away into undifferentiated shadows.

You're in reality not getting anywhere near a 3200 speed exposure, not even with fortuitous scanning that allows recovery of shadows beyond what you could ever do in the darkroom. Conversely, with Kentmere 400 you will not get anywhere close 1600. Regardless, under similar lighting conditions, you will get images that retain sufficient or even desirable differentiation in the areas that received sufficient exposure. This is how push processing ultimately works; it allows you to get acceptable contrast in the negative while sacrificing shadow differentiation. It's not a true speed increase and thus there are limits to what it can do.

If you take a scene with flat light (see e.g. @loccdor's example above) you can get very normal-looking results, but that principle relies on a very narrow SBR (scene brightness range) under which conditions you can easily sacrifice a stop of shadow differentiation because there's not much going on there anyway, and then boost negative contrast back to normal by overdeveloping. However, the typical applications under which push processing are often attempted are the exact opposite: high contrast scenes of stage performances, artificially lit interiors, street light shots etc. There are characterized by large swathes of deep shadows and very localized 'hot' areas of intense illumination. This can still work great, but it's a "trick" that relies on composition and framing more so than one of how the film is handled, technically, or any advantages of push processing. This is why the portrait of the lady and the microphone 'works' - it's in the eyes and her smile (even though the mic is a bit of an issue). Same for the initial one with the woman in front of the Bob Marley flag. The composition works fairly well in both and as a result, the deep shadows don't hurt much - in fact, they kind of help by isolating the subject.

That's why I have some qualms about this story of supposedly effective push processing - it works if and only if the subject is well-lit. Which brings into question what push processing really brought to the party.

Mind you, I've done the same on occasion; this is Fuji Sensia 1600 pushed to 3200: Note how it 'works' only because the bassist received light sufficient for 800-speed film and frankly I just lucked out on this composition. I burned 2.5 rolls of film that night (20+ years ago) and only this image is presentable. The rest is what pushed film often gives under circumstances like these - a murky mess.

Thank you very much for that detailed explanation, Koraks !! Yes, I completely understand that it's a sacrifice you make when you push film, and that you're not actually "raising" the ISO like you would with a digital camera. And you're absolutely right, it works when the conditions are right in terms of lighting and framing (which wasn't the case for my 'concert' shots, for which I kinda remember using a handheld lightmeter before the show began, but it was in a really, really dim bar, with absolutely terrible spotlights that were swirling around unpredictably all the time).
The think is : I like that look. Don't ask me why, I don't know. I'm just drawn to it. I'm drawn to the early, gritty images of Don McCullin, or the work of W Eugene Smith, or some of the work of Moriyama. It speaks to me, for reasons I cannot explain, just like bluegrass or bagpipes speak to me, even though I'm French and it's not at all my culture. Color usually does nothing for me. I do appreciate clean black and white images, for sure. But the images I'm really drawn to are the dark, gritty, grainy, pushed ones with blocked shadows (and 'charcoal looking' ones, actually, maybe even more) and heavy contrast. Maybe I should talk to my shrink about this ^^. Anyway.
I plan to use it in a more "controlled" environment than that concert I shot, by the way : probably "documentary" style in small shops, or with lumberjacks deep in the forest, things like that. I'm drawn to people who do manual labor, especially the traditional ones (which there are a few of here in the North East of France - see images below, taken on HP5 @800 in 2024 - lab dev and scan, no idea what they used).
I do love your image of the bassist !! But I understand the frustration of getting 1 good shot for 2.5 rolls of film...

P.S regarding your last message : yes, I will definitely start at 800. And maybe try using Microphen, though I have no experience with it.
 

Attachments

  • Photrio1.jpg
    Photrio1.jpg
    1.9 MB · Views: 104
  • Photrio2.jpg
    Photrio2.jpg
    1.9 MB · Views: 86
I understand what you say and that you're not expecting the kind of tonality you'd normally get from a film, just with more speed. I also see the sense in that situation to place exposure at the left hand side of the curve and compensate for it in development by extending it. If, like you said, that's the kind of look you're going for, then it's basically a matter of trying to tailor the composition to effectively use the open shadow areas.

You might even like Fomapan 400 for your style of work, although you evidently end up less effective speed. For situations where this doesn't matter (like the bbq people; lovely scene!), it might work quite well indeed.

LB1737_F400PGVC_0019.jpg

Lisbon, spring 2017. Fomapan 400, Patrick Gainer Vitamin C concoction (I'd not recommend this, but it can be 'nice and gritty')
 
When I was a working PJ in the 70s and 80s I pushed a lot of film. The the 60s and 70s was the age of available light photography. The 50s and early 60s a lot of news was shot with a flash, with faster lens and film shooting without a flash was seen as a benefit. I have pushed TriX with Rodinal, up to 3200. As noted by OP the look is specific to the times, the grain, contrast, framing and sensibility. My rule of thumb was to meter for the highlights and let the shadows fall where they may, print high contrast to empahise the mood which is often dark. I took this shot for an assiment I had with the San Fransicao Chonical in the 1976. At the time there brothles posing as modling studios. I paid for modeling sessions. In this case the only light was a very dim single bulb, a modeling sutido that did not allow falsh. I shot with my Nkion and a 50mm 1.4 lens, Trix at 3200, developed in Rodinal dont recall the time. Afga Brovia #4. This is a work print, it did not make the paper which is why I was allowed to keep the negatives. The final print, I beached they eyes a bit.
 

Attachments

  • trix at 3200 1976 .jpg
    trix at 3200 1976 .jpg
    284.7 KB · Views: 78
I understand what you say and that you're not expecting the kind of tonality you'd normally get from a film, just with more speed. I also see the sense in that situation to place exposure at the left hand side of the curve and compensate for it in development by extending it. If, like you said, that's the kind of look you're going for, then it's basically a matter of trying to tailor the composition to effectively use the open shadow areas.

You might even like Fomapan 400 for your style of work, although you evidently end up less effective speed. For situations where this doesn't matter (like the bbq people; lovely scene!), it might work quite well indeed.

Lisbon, spring 2017. Fomapan 400, Patrick Gainer Vitamin C concoction (I'd not recommend this, but it can be 'nice and gritty')

I am attracted to the look of Fomapan, indeed. Especially 100, for portraits (but definitely not in harsh lighting). It has a "something something" that I like about the highlights and the tones and grain. But I read that it tends to be very hard to scan because it curls a lot, and I also read that some people had issues with dark spots or "clumps" on their rolls (even recently). So I'm not entirely convinced it's more interesting than Kentmere, which only costs about 50 cents more here.
I have never tried Foma 400 myself, though. I did a few rolls in the past with Foma 100 (dev and scan by the lab), which turned out often blown out (yet with deep shadows...) because they were shot in the hard sun of Provence (sometimes even in the sand of the horse lunging pen), but that might also have been a metering error on my part. I got one of my favorite shots with it on a Holga, though. Anyway. I could try it, for sure.

When I was a working PJ in the 70s and 80s I pushed a lot of film. The the 60s and 70s was the age of available light photography. The 50s and early 60s a lot of news was shot with a flash, with faster lens and film shooting without a flash was seen as a benefit. I have pushed TriX with Rodinal, up to 3200. As noted by OP the look is specific to the times, the grain, contrast, framing and sensibility. My rule of thumb was to meter for the highlights and let the shadows fall where they may, print high contrast to empahise the mood which is often dark. I took this shot for an assiment I had with the San Fransicao Chonical in the 1976. At the time there brothles posing as modling studios. I paid for modeling sessions. In this case the only light was a very dim single bulb, a modeling sutido that did not allow falsh. I shot with my Nkion and a 50mm 1.4 lens, Trix at 3200, developed in Rodinal dont recall the time. Afga Brovia #4. This is a work print, it did not make the paper which is why I was allowed to keep the negatives. The final print, I beached they eyes a bit.

I've seen a lot of really nice photographs (for my taste, at least) with Tri X pushed in Rodinal, indeed. It's just a bit expensive for my limited budget, but...
I really like that chiaroscuro in your image :smile:
 
As to the foma films: don't believe everything you read and realize they're all quite different films.
Fomapan 100 generally does not suffer from QA issues. I've never come across any serious defects on it, in any format. It can build contrast very effectively, but it's likewise easy to process for a mild gradation. There's nothing inherently problematic about this.
Fomapan 200 is different in that the 120 format has always suffered from defects. Sooner or later you *will* run into it. But it's only the 120 format and not 35mm and sheet film. In those formats, it's a great film IMO, esp sheet film (it's virtually the only B&W sheet film I presently use).
Fomapan 400 is generally defect-free like Fomapan 100, but has higher base+fog levels (which doesn't matter for you) and a much softer gradation; i.e. it tends to slope off distinctly during development, so it doesn't build high densities as readily as 200 and esp. 100. Moreover, it has extended red sensitivity which can give skin tones (esp in sunlight) a peculiar rendering; kind of soft or even 'spooky' at times with less emphasis on small structures like lips, blemishes etc. It reminds a little of infrared film (just a little) in this sense.

In 35mm format these Foma films have limited halation control, so highlights can bloom considerably, like they do on e.g. Kodak double-X (or even more so). This is not true for the 120 and sheet film variants, which have excellent anti-halation.
 
When I was a working PJ in the 70s and 80s I pushed a lot of film. The the 60s and 70s was the age of available light photography. The 50s and early 60s a lot of news was shot with a flash, with faster lens and film shooting without a flash was seen as a benefit. I have pushed TriX with Rodinal, up to 3200. As noted by OP the look is specific to the times, the grain, contrast, framing and sensibility. My rule of thumb was to meter for the highlights and let the shadows fall where they may, print high contrast to empathize the mood which is often dark. I took this shot for an assignment I had with the San Fransisco Chronicle in the 1976. At the time there brothels posing as modeling studios. I paid for modeling sessions. In this case the only light was a very dim single bulb, a modeling studio that did not allow flash. I shot with my Nikon and a 50mm 1.4 lens, Trix at 3200, developed in Rodinal don't recall the time. Afga Brovia #4. This is a work print, it did not make the paper which is why I was allowed to keep the negatives. The final print, I beached they eyes a bit.
Correction, I pulled my day book, the shot was taken with a Vivitar 28 2.5 at 2.5 at 1/30 of a second. I have no idea why I used a Vivitar 28 as I had a Nikon 28 2.8 and I did not record why I used this lens. For that matter this seems to be only assignment I used the Vivitar so best guess is my Nikon had an issue with the aperture ring and was in the shop and the Vivtar was a loaner.
 
Anything over 20 mins in Rodinal is a matter of rapidly declining returns, and anything over about 30 is about the same as it sitting in water.

So at the OP's dilution of 1+50 Rodinal has no further effect on development after 30mins? This surprises me. I had always thought that at this dilution Rodinal had enough "oomph" left in it to effect development enough to see a difference compared to 20 mins

If my interpretation of what you said above is correct then 1+100 and 1 hour development which is the usual
stand/semi/stand development does nothing for the film development after how many minutes? It sounds as if such methods as stand or semi-stand with Rodinal are worthless irrespective of whether bromide drag enters into the equation

Presumably those who go even further and use 90 -120 mins instead if 60 mins are wasting their time?

Thanks

pentaxuser
 
So at the OP's dilution of 1+50 Rodinal has no further effect on development after 30mins? This surprises me. I had always thought that at this dilution Rodinal had enough "oomph" left in it to effect development enough to see a difference compared to 20 mins

When I heard about this it was more in relation to the 1+100 and 1+200 dilutions. Not an exact science as it has not only to do with film area but also the amount of exposure on the frames and total liquid in the tank.
 
I'm sure @Lachlan Young can explain and correct me if I'm wrong, but when it comes to developer activity, there's a couple of things that play a role. One is exhaustion and that's the first you might think of, but it's not the only thing. Another, for instance, is how accessible the undeveloped silver halide is to the developer. I can imagine the silver halide molecules below the grain surface could become less accessible as development progresses, negatively affecting the rate of development so that ultimately it comes to a halt. I've seen this happen a lot and at an extreme scale when intensifying negatives using tanning developers, which (mostly due to the tanning action) start to block access to the bleached silver halide particles after a few iterations. This is a different mechanism than what would happen with rodinal, but depending on how rodinal acts on the grain at a micro-scale, I can imagine similar effects taking place.
 
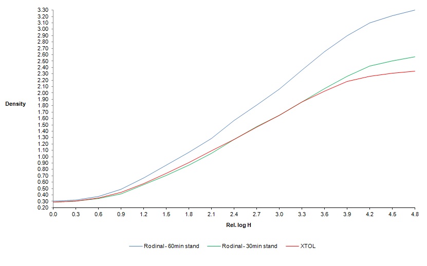
I once tried to test the infamous Rodinal 1+100 stand development as carefully / objectively as I could using 35mm FP4+, with the tank in a large bath of water at 20C. The average of three runs are shown below.

One thing I found problematic was that even base fog levels showed some non-uniformity.


DE5D5DF9-9BE3-40B9-B1C7-929C7EAC380C.jpeg
 
Last edited:
As to the foma films: don't believe everything you read and realize they're all quite different films.
Fomapan 100 generally does not suffer from QA issues. I've never come across any serious defects on it, in any format. It can build contrast very effectively, but it's likewise easy to process for a mild gradation. There's nothing inherently problematic about this.
Fomapan 200 is different in that the 120 format has always suffered from defects. Sooner or later you *will* run into it. But it's only the 120 format and not 35mm and sheet film. In those formats, it's a great film IMO, esp sheet film (it's virtually the only B&W sheet film I presently use).
Fomapan 400 is generally defect-free like Fomapan 100, but has higher base+fog levels (which doesn't matter for you) and a much softer gradation; i.e. it tends to slope off distinctly during development, so it doesn't build high densities as readily as 200 and esp. 100. Moreover, it has extended red sensitivity which can give skin tones (esp in sunlight) a peculiar rendering; kind of soft or even 'spooky' at times with less emphasis on small structures like lips, blemishes etc. It reminds a little of infrared film (just a little) in this sense.

In 35mm format these Foma films have limited halation control, so highlights can bloom considerably, like they do on e.g. Kodak double-X (or even more so). This is not true for the 120 and sheet film variants, which have excellent anti-halation.

That is very useful information, thank you !
From what I've seen online, I find Foma 100 generally more pleasing than Foma 200 or 400, though I can't explain why exactly. Maybe it just has to do with the kind of images I saw...
I don't have much experience with Fomapan in general. I mainly used it to test cameras that were gifted to me, and most of them had severe issues (because it was really cheap at the time - not so much anymore), so it was not very useful information. But that shot with the Holga that I mentioned, I really like. So I might very well give it a new try :smile:
Here is that shot in question : image
 
Yeah, that's nice! The Foma films are really quite nice if you play to their strengths, IMO. I think especially for the more gritty, contrasty look you seem to prefer, I think they can work quite well.
 
My walk around film in 35mm is Foma, less expensive Kodak or ILford and about the same as Kentmere, but even in 35mm the anti -halogen layer works better for me in the glare of the desert sun. I do not use Kentmere or its rebranded version only due Foma's 120 curl, I use Foma sheet film in MF and LF size. I find the tones of 200 to be odd, could be that Foma 200 is a mix of T grain and traditional grain. What is nice about 200 is that I can shoot at pretty close to box speed while I shoot 100 from 50 to 80 and 400 from 100 to 250 depending on the developer. Kentmere is also DX coded which is needed when I am using one of my point and shoots without DX override.

Rereading my day book the image I took in the 70s was developed in Rodinal 1:25 at 75 degrees for 30 mint, my note says time was a WAG, which means wild ass guess.
 
I'm sure @Lachlan Young can explain and correct me if I'm wrong, but when it comes to developer activity, there's a couple of things that play a role. One is exhaustion and that's the first you might think of, but it's not the only thing. Another, for instance, is how accessible the undeveloped silver halide is to the developer. I can imagine the silver halide molecules below the grain surface could become less accessible as development progresses, negatively affecting the rate of development so that ultimately it comes to a halt. I've seen this happen a lot and at an extreme scale when intensifying negatives using tanning developers, which (mostly due to the tanning action) start to block access to the bleached silver halide particles after a few iterations. This is a different mechanism than what would happen with rodinal, but depending on how rodinal acts on the grain at a micro-scale, I can imagine similar effects taking place.

With Rodinal, it seems highly prone to aerial oxidation at working strength. Agfa made some pretty clear statements about mixing to working strength immediately before use, and there are plenty stories of development failure from people who had left working strength developer standing for 20-30 mins before use (seen that first-hand too). I think it was Phil Davis who showed that anything over 20 mins wasn't gaining much effective density with Rodinal. Essentially it's a case of going to 1+25 if 1+50 isn't cutting it, and one of the components that seems to be lacking in K400 is (probably) development accelerators, so it can neither go to as high a density as HP5+ can potentially be pushed to (owing to the amount of silver/m² used), nor can it do it as fast.

In comparison, D-76 will happily trundle along for about as long as you are prepared to agitate it for.
 
Another variable in addition to the ratio (1:50, 1:100 etc) is the volume of developer. There seems to be interest by some in seeing how little Rodinal can be successfully used. Another approach is to use a much larger volume of diluted developer, same ratio, but much more volume, say up to 2Litre for a roll, and see what difference that makes. There will be less oxidation. I found that using a larger amount of PMK, which is notorious for oxidation, solved a problem of insufficient development when I was aiming for more contrast. I used the standard dilution, just a lot of it.
 
Photrio.com contains affiliate links to products. We may receive a commission for purchases made through these links.
To read our full affiliate disclosure statement please click Here.

PHOTRIO PARTNERS EQUALLY FUNDING OUR COMMUNITY:



Ilford ADOX Freestyle Photographic Stearman Press Weldon Color Lab Blue Moon Camera & Machine
Top Bottom