• Welcome to Photrio!
    Registration is fast and free. Join today to unlock search, see fewer ads, and access all forum features.
    Click here to sign up

Ilford published Rodinal times

Fatih Ayoglu

Member
Allowing Ads
Joined
Apr 11, 2021
Messages
468
Location
Birmingham, UK
Format
Analog
Hi all,

As I have pinhole issues with my Foma100 sheet films more often than not, I am planning to move over FP4+ and Ilford has kindly published development times for non Ilford chemicals as well.

So my question is, because we know Rodinal doesn't give the shadow speed, would it make sense to expose the sheets 1/3 stop more and shorten the development times 15% or Ilford has already calculated for the speed loss in shadows areas and compensated the development times accordingly.

I am looking particularly to Rodinal as it is my go to developer for slow films.

Many thanks,
Fatih
 

Dustin McAmera

Subscriber
Allowing Ads
Joined
Feb 15, 2023
Messages
601
Location
UK
Format
Multi Format
It would be worth looking at the datasheet that comes with the Rodinal for comparison.

(in fact, I can do that. Fotoimpex gives a link to the Agfa original datasheet from its listing for Adonal:
https://www.fotoimpex.com/chemistry/adox-adonal-rodinal-500-ml-conc.html )

For FP4 plus, at 20 deg. C, Agfa gives 8 minutes at 1/25 dilution or 18 minutes at 1/50. Ilford gives 9 minutes and 15 minutes. That seems weird; am I reading those wrong?

To add to the fun, I daresay Ilford have based their times on agitating once per minute, and Agfa want twice per minute (which barely lets you drink your tea before it's time to invert the tank again).
 

MarkS

Member
Allowing Ads
Joined
Mar 12, 2004
Messages
543
Only you can find your answer. Run an exposure/development test. Exposure brackets in 1/2 stop intervals around box speed of a full-scale subject- bright sun and deep shadow. Repeat 4x. Then develop 1)@ 'normal', 2)@ 20% less time, 3)@ 50% more time. Make proper proofs of all 3. Evaluate. If necessary, fine-tune development time with test #4.
Somewhere in those tests will be the look you want. And you'll have the right answer for you.
 

chriscrawfordphoto

Member
Allowing Ads
Joined
Mar 12, 2007
Messages
1,893
Location
Fort Wayne, Indiana, USA
Format
Medium Format
I personally found Ilford's times for FP4 in Rodinal to be too long, and AGFA's times to be WAY too long. For me 13 minutes in Rodinal 1+50 at 68F/20C worked best. Expose at EI-100.
 

pentaxuser

Member
Joined
May 9, 2005
Messages
20,333
Location
Daventry, No
Format
35mm
If Rodinal is you standard developer for slow films then I'd be tempted to use the latest times such as the Adonal sheet rather than Ilford

However as Mark has said if Rodinal is to be you "go-to" developer for slow films then it may be worth your while to test for your film speed in your camera and your exposure meter and then test for optimum dev time

John Finch has 2 useful videos on this as follows

pentaxuser
 
OP
OP

Fatih Ayoglu

Member
Allowing Ads
Joined
Apr 11, 2021
Messages
468
Location
Birmingham, UK
Format
Analog
yes I’m not quite sure Ilford or Agfa are showing old R09 Rodinal or the new Rodinal. What I’ll do is shoot a test sheet through Stouffer 31 wedge tablet, that should give me an idea.

I guess if I measure the light give +5 stops and then shoot a white A4 paper, and develop the sheet, that should give a good understanding of ISO. From there I can take with printing at Grade 2 to see optimal black time and tame for development time
 
Last edited:

pentaxuser

Member
Joined
May 9, 2005
Messages
20,333
Location
Daventry, No
Format
35mm
I have the last of the Agfa Rodinal bought in 2005 and that sheet shows the same as Dustins but as earlier sheet which I cannot date shows 5 and 13 so we have two Rodinal times and an Ilford time which is between the 2 Agfa times

Sound as if a personal test is definitely worth it

pentaxuser
 

Dustin McAmera

Subscriber
Allowing Ads
Joined
Feb 15, 2023
Messages
601
Location
UK
Format
Multi Format
Since Fatih specifically mentioned shadows, and Rodinal, I'm surprised nobody has brought up compensation by stand or semi-stand developing yet.
 
OP
OP

Fatih Ayoglu

Member
Allowing Ads
Joined
Apr 11, 2021
Messages
468
Location
Birmingham, UK
Format
Analog
Well I didn’t want to open that can of worms because I do it already time to time but I’d like to have a risk free development as well.
Every single time I do the Semi stand development, my heart pounds faster than normal

That’s why I’ll test it with Rodinal 1+50 which should have a compensating effect for highlights and then should allow enough time for shadows…
 

Augustus Caesar

Member
Allowing Ads
Joined
Oct 30, 2023
Messages
488
Location
Cleveland
Format
35mm

It's not that simple. Rodinal gives less shadow speed than other developers, and diluting it won't change that.
 

RalphLambrecht

Subscriber
Allowing Ads
Joined
Sep 19, 2003
Messages
14,916
Location
K,Germany
Format
Medium Format

It does make sense.
 
OP
OP

Fatih Ayoglu

Member
Allowing Ads
Joined
Apr 11, 2021
Messages
468
Location
Birmingham, UK
Format
Analog
It's not that simple. Rodinal gives less shadow speed than other developers, and diluting it won't change that.

Yes I know the dilution is not going to change that. Shadow speed is more with the exposure and the first 50% of the dev time. If I use high dilution with slightly shorter dev time but correct exposure (like +1/3 to +1/2) I should have good shadows speed and due to compensating effect and shorter dev time, controlled highlights.
 

pentaxuser

Member
Joined
May 9, 2005
Messages
20,333
Location
Daventry, No
Format
35mm
Fatih, iIf you haven't already done so, have a look at John Finch's videos on Rodinal and decide for yourself if the shadows are OK with John's 1+100 dilution and his form of semi-stand

The thread has a real chance of doing down the "Oh no it doesn't!" and the "Oh yes it does" on any of Rodinal's qualities and we are still 7 months away from the pantomime season

pentaxuser
 

logan2z

Subscriber
Allowing Ads
Joined
Jan 11, 2019
Messages
3,980
Location
SF Bay Area, USA
Format
Multi Format
I personally found Ilford's times for FP4 in Rodinal to be too long, and AGFA's times to be WAY too long. For me 13 minutes in Rodinal 1+50 at 68F/20C worked best. Expose at EI-100.

My experience is very similar to yours. I shoot FP4+ at EI100 and develop in Rodinal 1+50 at 68F for 11m 45s. I'm happy with the results so far.
 

retina_restoration

Member
Allowing Ads
Joined
Jan 28, 2023
Messages
1,553
Location
Wilammette Valley, Oregon
Format
35mm RF

Except - as others have pointed out - Rodinal gives the poorest shadow development of pretty much any developer available, and no modifications to how you use it will change that property. It's not a matter of "allowing enough time for shadow development" - the developer simply gives the least shadow density of pretty much anything else you care to compare it with.
If preservation of shadow information is important to what you do, either decrease the ISO when exposing the film, or select a developer that performs better in this regard.
 

Milpool

Member
Allowing Ads
Joined
Jul 9, 2023
Messages
964
Location
Canada
Format
4x5 Format
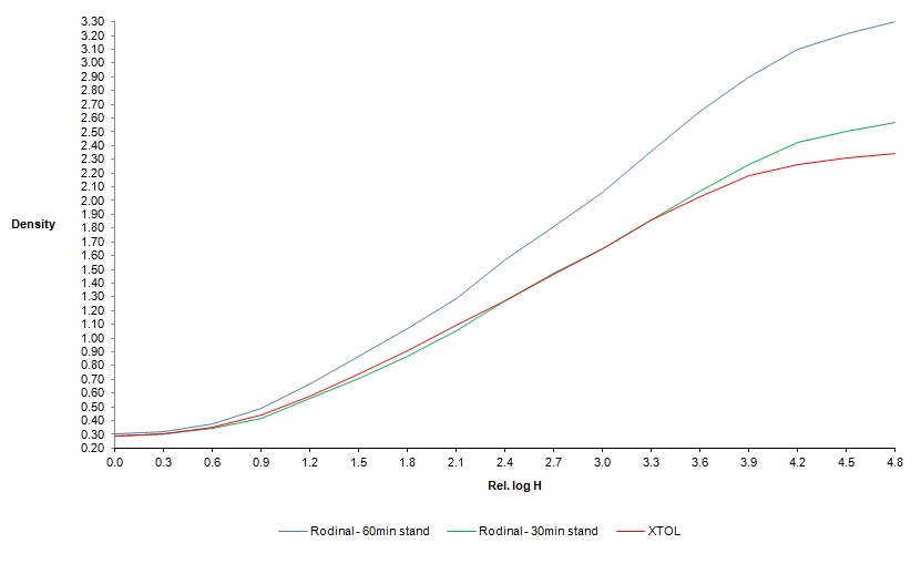
Here are some FP4+ sensitometry results for Rodinal 1:100 stand development at two development times relative to XTOL. Note results will vary in practice as in this experiment care was taken to minimize any difference between developer temperature and ambient temperature.

 
OP
OP

Fatih Ayoglu

Member
Allowing Ads
Joined
Apr 11, 2021
Messages
468
Location
Birmingham, UK
Format
Analog

As said, I’ll do +1/3 to +1/2 exposure with decreased development to maintain highlights. But I’m well aware of the fact that development cannot change that speed loss characteristic of this developer.
 
OP
OP

Fatih Ayoglu

Member
Allowing Ads
Joined
Apr 11, 2021
Messages
468
Location
Birmingham, UK
Format
Analog

So Rodinal stand gives the best shadow speed, as expected.
 

Milpool

Member
Allowing Ads
Joined
Jul 9, 2023
Messages
964
Location
Canada
Format
4x5 Format
…with a few caveats. Note the 60 minute development time produced high contrast. The 30 minute time produced a normal gradient (essentially the same as the XTOL control) with basically full emulsion speed. It would be interesting to find out if a normal process (much shorter development time with agitation) yields a materially different result.

One thing to watch out for though - uniformity in these tests was bad. Each density on the curve is the average of a series of measurements on each patch and the spreads were significant. Come to think of it I should have put in error bars. Even the fog levels showed some non-uniformity. Some amount of intermittent agitation would likely improve things somewhat but it would require experimentation. When it comes to these extreme processes there are variables, some quite difficult to control.
So Rodinal stand gives the best shadow speed, as expected.
 
OP
OP

Fatih Ayoglu

Member
Allowing Ads
Joined
Apr 11, 2021
Messages
468
Location
Birmingham, UK
Format
Analog
I guess all my past experience with 1+100 dilution is with semi stand as it is instructed on the bottle.
Nevertless, I’ll do couple of tests with decreased ISO and decreased development time to have a base negative.
 

RalphLambrecht

Subscriber
Allowing Ads
Joined
Sep 19, 2003
Messages
14,916
Location
K,Germany
Format
Medium Format
As said, I’ll do +1/3 to +1/2 exposure with decreased development to maintain highlights. But I’m well aware of the fact that development cannot change that speed loss characteristic of this developer.

You seem to be doing it right (expose for the shadows and develop for the highlights); it is a well-proven process!
 

Milpool

Member
Allowing Ads
Joined
Jul 9, 2023
Messages
964
Location
Canada
Format
4x5 Format
Most contemporary films have big exposure ranges. Realistically the “straight line” range is 11-12 stops, essentially what Ilford shows in the FP4+ data sheet.
What’s remarkable though is, you have 16 stops recordings. Now that’s big!
 

Augustus Caesar

Member
Allowing Ads
Joined
Oct 30, 2023
Messages
488
Location
Cleveland
Format
35mm

Truuh woids wuz nevuh spoke!